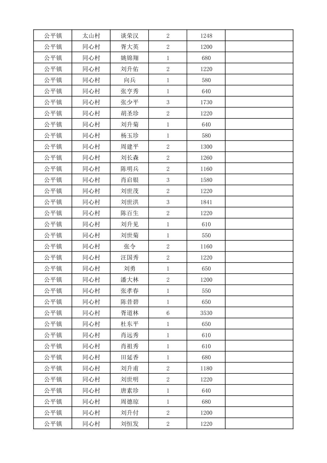
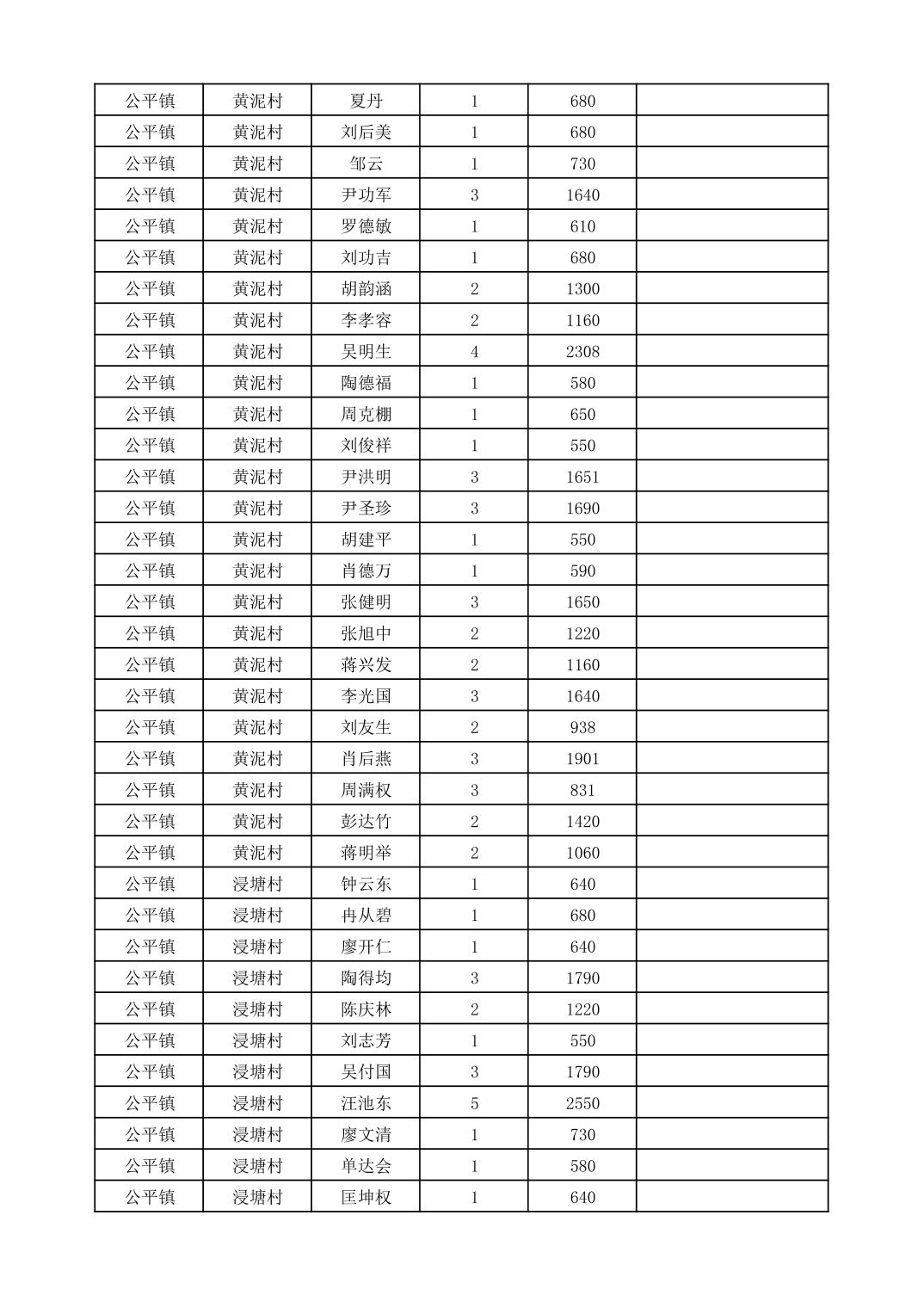
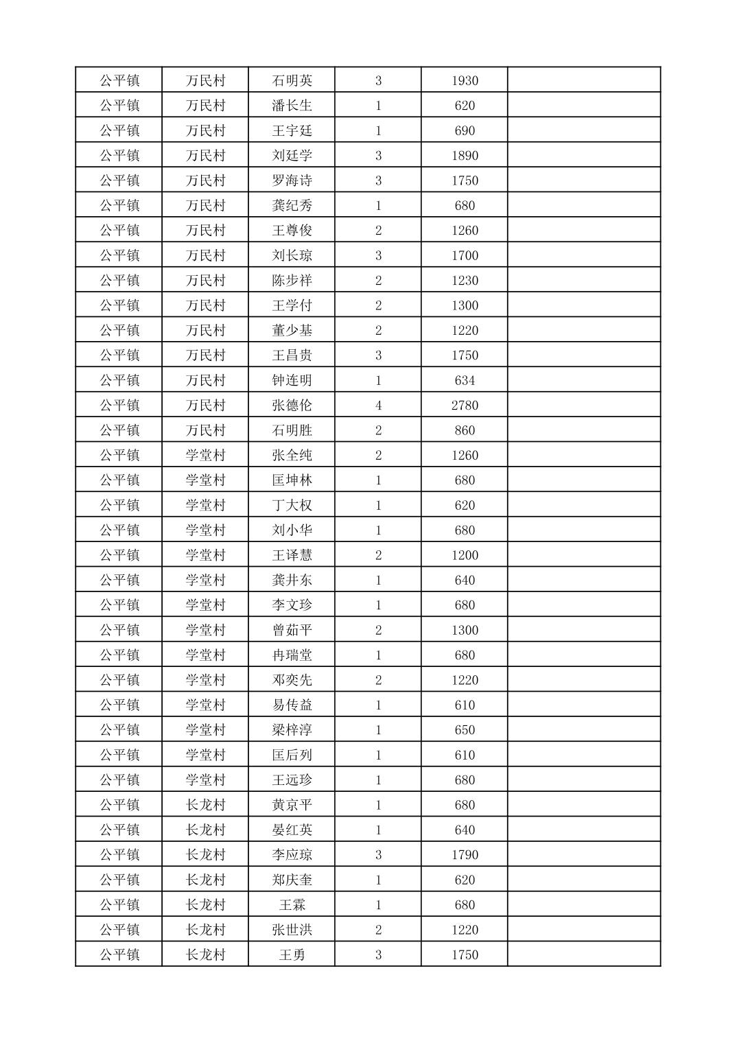
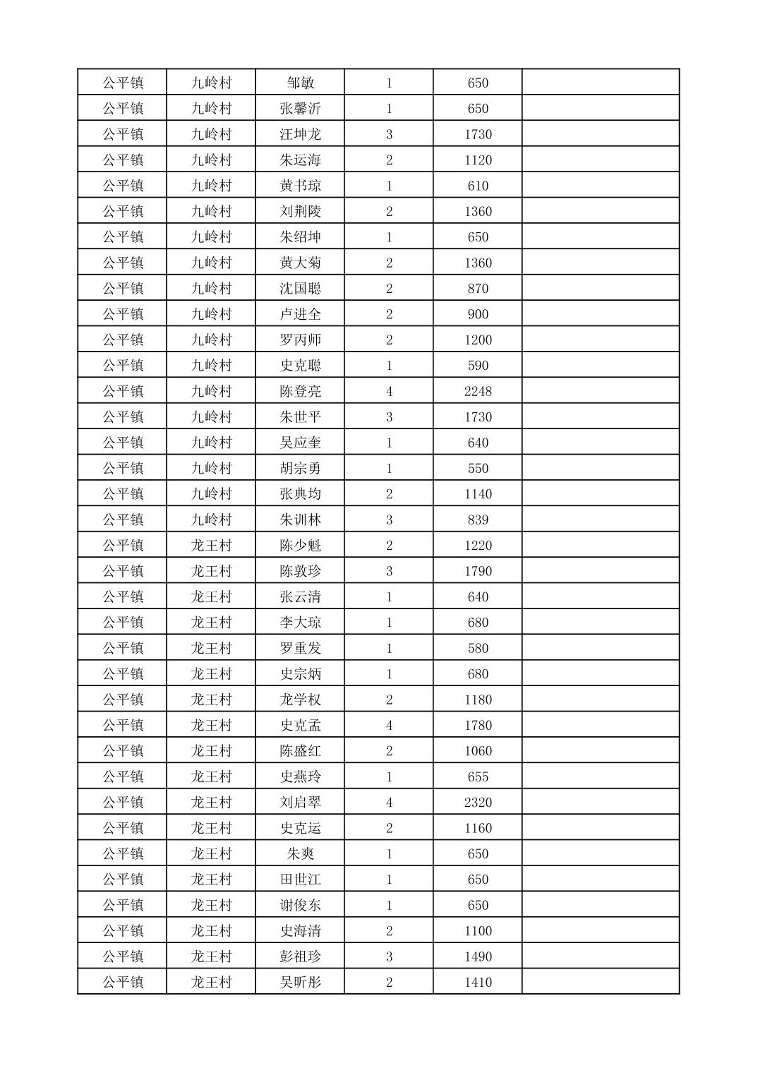
奉节县公平镇2025年9月农村低保保障资金发放表
日期:2025-09-18


扫一扫在手机打开当前页